SINTOMATOLOGIA E COMPLICAÇÕES NO PÓS-PARTO DAS PACIENTES SUBMETIDAS A EPISIOTOMIA
Resumo
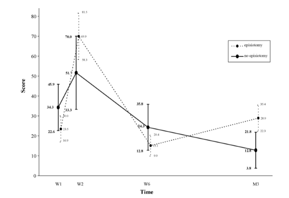
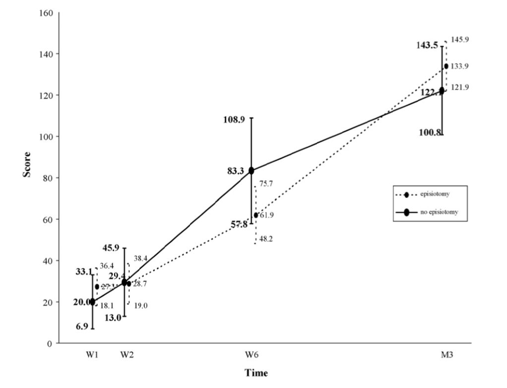
Introdução: A episiotomia é o procedimento cirúrgico eletivo mais comum na Obstetrícia. Os tipos mais frequentemente utilizados são a episiotomia mediana (EM) e a episiotomia médio-lateral (EML). Esta incisão é realizada em muitos países como um procedimento dentro da rotina diária de cuidados de parto, apesar das evidências científicas atuais não suportarem seu uso rotineiro. Ideologicamente, tem o objetivo de evitar injúria ao esfíncter anal, trauma perineal, prolapso genital e incontinência urinária e fecal, acelerar o parto e reduzir o risco de trauma neonatal.Contudo, vários estudos têm demonstrado que não há grandes vantagens na episiotomia de rotina. Objetivos: Analisar a sintomatologia e possíveis complicações promovidas pela episiotomia no período pós-parto das pacientes submetidas a esse procedimento, procurando avaliar o real benefício do emprego desta técnica. Métodos: A revisão bibliográfica foi feita com base no tema escolhido, sendo selecionados 15 artigos, compreendidos no período de 2003 a 2018 e provenientes das plataformas PubMed, SciELO, LILACS e Cochrane. Os descritores utilizados na busca foram episiotomy, episiotomies, postpartum. Resultados e discussão: As taxas relatadas de episiotomia variam em diferentes estudos desde 2000, tão baixas quanto 9,7% (Suécia) a tão altas quanto 100% (Taiwan). Na Ásia, as taxas de episiotomia relatadas em 2005 variaram de 42-98%. Na China, a taxa estimada era 82%, No Vietnã em 2013 e em Hong Kong em 2006, mais de 85%. Estima-se que o procedimento seja empregado em 62,5% do total de partos nos Estados Unidos e em cerca de 30% na Europa. O Ministério da Saúde do Brasil, apesar de recomendar o seu uso seletivo, não determina a taxa ideal a ser atingida. Estima-se, por alguns autores, que uma frequência ótima deveria situar-se entre 10 a 30% do total de partos vaginais. A técnica não impede o aparecimento da dispareunia ou melhora a função sexual da paciente no período pós-parto. Muitos autores associam a episiotomia a um nível maior de dor e que não há diferença significativa entre o aparecimento de incontinência urinária nas mulheres submetidas ou não a episiotomia. De modo que a aplicação rotineira dessa técnica não diminui a dor ou previne incontinência urinária. Nenhuma pesquisa de qualidade adequada demonstrou que a episiotomia reduziria o risco de laceração retal ou diminuiria o tempo de cicatrização. Nenhum estudo apoiou a episiotomia rotineira como uma intervenção protetora para incontinência anal. Esse procedimento não teve efeito protetor nem causador sobre o prolapso urogenital. Conclusão: Evidenciou-se que a episiotomia deve ser restringida a casos específicos. A educação e atualização médica, a inclusão da equipe de enfermagem no cuidado ao parto, a adoção de boas práticas e a redução das intervenções durante o parto resultam em um número reduzido de episiotomias. Vale ressaltar também a importância da técnica correta quando o procedimento for empregado, uma vez que a falha em realizar a episiotomia ou o seu reparo quando há uma indicação pode ser tão prejudicial. Devido a frequência das complicações da episiotomia, as mulheres devem receber instruções sobre cuidados com a ferida e reconhecimento dos sinais de infecção. Um melhor cuidado durante a realização da episiorrafia seria uma medida para evitar a dispareunia. Fala-se sobre o uso de compressas quentes e massagens no períneo antes do parto; estudos conduzidos com hialuronidase, tendências sobre as posições adotadas no parto vaginal, em que a paciente deixaria de ser colocada em litotomia, confortável para o médico, e passaria a adotar posições como agachada ou de pé. Ambas consistem em novas técnicas estudadas para auxiliar o canal do parto a responder melhor, sem necessidade da episiotomia.
Referências
- Chang S, Chen K, Lin H, Chao YY, Lai Y. Comparison of the effects of episiotomy and no episiotomy on pain, urinary incontinence, and sexual function 3 months postpartum: A prospective follow-up study. International Journal of Nursing Studies. 2011;48:409–4188.
- Mellizo-Gaviria AM, López-Veloza LM, Montoya-Mora R, Ortiz-Martínez RA, Gil-Walteros CC. Frequency of episiotomy and complications in the obstetrics servisse of Hospital Universitario San José, Popayán (Colombia), 2016. Revista Colombiana de Obstetricia y Ginecología. 2018;69: 88-97.
- LaCross A, Groff M, Smaldone A. Obstetric Anal Sphincter Injury and Anal Incontinence Following Vaginal Birth: A Systematic Review and Meta-Analysis. J Midwifery Womens Health. 2015; 60:37–47.
- Schantz C, Sim KL, Ly EM, Barennes H, Sudaroth S, Goyet S. (2015) Reasons for routine episiotomy: A mixed-methods study in a large maternity hospital in Phnom Penh, Cambodia, Reproductive Health Matters, 23:45, 68-77.
- Rodríguez MCB, Terceros LAC. Episiotomía: Procedimiento a elección y no de rutina. Rev Cient Cienc Med. 2014; 17(2): 53-57.
- Junior MDC, Júnior RP. Selective Episiotomy: Indications, Techinique, and Association with Severe Perineal Lacerations. Rev Bras Ginecol Obstet 2016; 38:301–307.
- Jiang H, Qian X, Carroli G, Garner P. Selective versus routine use of episiotomy for vaginal birth. Cochrane Database of Systematic Reviews 2017, Issue 2. Art. No.: CD000081.
- Mattar R, Aquino MMA, Mesquita MRS. A prática da episiotomia no Brasil. Rev Bras Ginecol Obstet. 2007; 29(1):1-2.
- Arellano ES, Arrizón AV, Soberanis JL, Turanzas MC, Cruz JE, Andersson N. Dispareunia en mujeres después del parto: estudio de casos y controles en un hospital de Acapulco, México. Rev Panam Salud Publica. 2008;23(1):44–51.
- Fleming N, Newton ER, Roberts J. Changes in Postpartum Perineal Muscle Function in Women With and Without Episiotomies. Journal of Midwifery & Women’s Health. 2003; 48(1): 53-59.
- Necesalova P, Karbanova J, Rusavy Z, Pastor Z, Jansova M, Kalis V. Mediolateral versus lateral episiotomy and their effect on postpartum coital activity and dyspareunia rate 3 and 6 months postpartum. Sexual & Reproductive Healthcare. 2016; 1-6.
- Prado DS, Mendes RB, Gurgel RQ, Barreto IDC, Bezerra FD, Cipolotti R, Gurgel RQ. Practices and obstetric interventions in women from a state in the Northeast of Brazil. Rev Assoc Med Bras 2017; 63(12):1039-1048.
- Chayachinda C, Titapant V, Ungkanungdecha A. Dyspareunia and sexual dysfunction after vaginal delivery in Thai primiparous women with episiotomy. J Sex Med 2015;12:1275–1282.
- Turmo M, Echevarria M, Rubio P, Almeida C. Cronificación del dolor tras episiotomía. Rev Esp Anestesiol Reanim. 2015;62:436-442.
- Aytan H, Tok EC, Ertunc D, Yasa O. The Effect of Episiotomy on Pelvic Organ Prolapse Assessed by Pelvic Organ Prolapse Quantification System. European Journal of Obstetrics & Gynecology and Reproductive Biology. 2013; 1-20.
Downloads
Arquivos adicionais
Publicado
Edição
Seção
Licença
AUTORES QUE PUBLICAM NESTA REVISTA CONCORDAM COM OS SEGUINTES TERMOS:
- Autores mantém os direitos autorais e concedem à Editora UNIFESO o direito de primeira publicação em qualquer de suas revistas, com o trabalho simultaneamente licenciado sob a Licença Creative Commons Attribution, permitindo o compartilhamento do trabalho com reconhecimento da autoria e da publicação inicial em qualquer das revistas desta Editora.
- Autores concedem à Editora UNIFESO o direito de publicar qualquer versão do trabalho, seja em formato escrito ou em formato áudio-visual, em qualquer de suas revistas ou em sites com os quais mantenha parceria científica.
- Autores têm autorização para assumir contratos adicionais separadamente, para distribuição não-exclusiva da versão do trabalho publicada pela Editora UNIFESO (ex.: publicar em repositório institucional ou como capítulo de livro), com reconhecimento de autoria e publicação inicial em qualquer das revistas da Editora UNIFESO.
- Autores têm permissão e são estimulados a publicar e distribuir seu trabalho online (ex.: em repositórios institucionais ou na sua página pessoal) a qualquer ponto antes ou durante o processo editorial, já que isso pode gerar alterações produtivas, bem como aumentar o impacto e a citação do trabalho publicado.
DECLARAÇÃO DE NÃO PLÁGIO
- O(s) Autor(es) declara(m) que o trabalho submetido para avaliação e publicação nas Revistas da Editora UNIFESO foi por ele(s) escrito, ou em co-autoria, e não constitui plágio de outros estudos existentes na literatura pública ou privada.
- Declara(m), também, que as citações, diretas ou indiretas, assim como tabelas, gráficos, fotografias e idéias obtidas em diferentes publicações e utilizadas no presente trabalho, estão corretamente referenciadas.
- Declara(m) ciência que a utilização de material de terceiros sem a devida citação e autorização, quando esta for necessária, constitui crime previsto na legislação brasileira, ou internacional da qual o Brasil seja signatário, e responsabiliza(m)-se civil e criminalmente por atos ilegais decorrentes desta submissão.